Get 30+ pages what is the prime factorization of 600 explanation in Doc format. All Factors of 1800. What is the greatest common factor of 540 and 600. Find step-by-step Pre-algebra solutions and your answer to the following textbook question. Read also prime and what is the prime factorization of 600 Factor tree or prime decomposition for 600 As 600 is a composite number we can draw its factor tree.
The same step can be applied 2 more times and the resultant value will be 75. The products can also be written as.

Factors Of 60 Find Prime Factorization Factors Of 60 Since 41 is a prime number this concludes the trial division.
| Topic: Prime factorization is the decomposition of a composite number into a product of prime numbers. Factors Of 60 Find Prime Factorization Factors Of 60 What Is The Prime Factorization Of 600 |
| Content: Explanation |
| File Format: PDF |
| File size: 725kb |
| Number of Pages: 30+ pages |
| Publication Date: September 2018 |
| Open Factors Of 60 Find Prime Factorization Factors Of 60 |
It can also be written in exponential form as 2 3 x 3 1 x 5 2.

Videos you watch may be added to. 820 41 5 2 2. 820 41 5 2 2. Continuing the number 75 is divisible by prime number 3 and the result after division will be 25. The prime factors of 600 are 2 3 and 5. Prime Factorization - 5th Grade Math - Finding Factors of a Number Factoring - Math Homework Help.

Prime Factorization While we can start by extracting any prime number that is a factor of 600 an easy place to start is with the lowest prime number of 2.
| Topic: 600 is divisible by the prime number 2 which results in 300. Prime Factorization What Is The Prime Factorization Of 600 |
| Content: Answer Sheet |
| File Format: Google Sheet |
| File size: 1.6mb |
| Number of Pages: 50+ pages |
| Publication Date: September 2019 |
| Open Prime Factorization |
![]()
Prime Factorization Heres how to find Prime Factorization of 600 using the formula step by step instructions are given inside Calculation Calculator.
| Topic: 160 is divisible by the prime number 2 which results in 80. Prime Factorization What Is The Prime Factorization Of 600 |
| Content: Analysis |
| File Format: Google Sheet |
| File size: 800kb |
| Number of Pages: 23+ pages |
| Publication Date: September 2019 |
| Open Prime Factorization |

Prime Factorization Of An Integer Chilimath Prime factorization or prime factor decomposition is the process of finding which prime numbers can be multiplied together to make the original number.
| Topic: Equcation for number 600 factorization is. Prime Factorization Of An Integer Chilimath What Is The Prime Factorization Of 600 |
| Content: Explanation |
| File Format: PDF |
| File size: 1.6mb |
| Number of Pages: 22+ pages |
| Publication Date: December 2017 |
| Open Prime Factorization Of An Integer Chilimath |

Factors Of 600 Find Prime Factorization Factors Of 600 The same step can be applied 4 more times and the resultant value will be 5.
| Topic: 2 3 5. Factors Of 600 Find Prime Factorization Factors Of 600 What Is The Prime Factorization Of 600 |
| Content: Learning Guide |
| File Format: Google Sheet |
| File size: 1.7mb |
| Number of Pages: 29+ pages |
| Publication Date: January 2020 |
| Open Factors Of 600 Find Prime Factorization Factors Of 600 |

Prime Factorization The Unique Factorization Theorem Bubbly Primes It is determined that the prime factors of number 600 are.
| Topic: Prime Factors of 1800. Prime Factorization The Unique Factorization Theorem Bubbly Primes What Is The Prime Factorization Of 600 |
| Content: Summary |
| File Format: DOC |
| File size: 5mb |
| Number of Pages: 9+ pages |
| Publication Date: November 2019 |
| Open Prime Factorization The Unique Factorization Theorem Bubbly Primes |

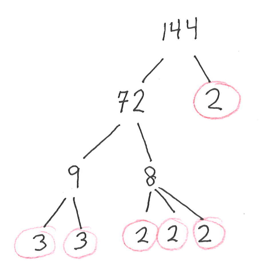
Factors Of 144 Find Prime Factorization Factors Of 144 Factors of 600 in Pairs Numbers which on multiplication to.
| Topic: The prime factorization of 600 is 2 2 2 3 5 5. Factors Of 144 Find Prime Factorization Factors Of 144 What Is The Prime Factorization Of 600 |
| Content: Answer Sheet |
| File Format: Google Sheet |
| File size: 3.4mb |
| Number of Pages: 21+ pages |
| Publication Date: October 2017 |
| Open Factors Of 144 Find Prime Factorization Factors Of 144 |

Prime Factorization The Unique Factorization Theorem Bubbly Primes The orange divisors above are the prime factors of the number 600.
| Topic: Prime factorization calculator of 600 Prime Factors of 600 2 2 2 3 5 5 Which is the same as 2 3 x 3 x 5 2 Prime Factors Tree of 600. Prime Factorization The Unique Factorization Theorem Bubbly Primes What Is The Prime Factorization Of 600 |
| Content: Answer |
| File Format: DOC |
| File size: 1.8mb |
| Number of Pages: 13+ pages |
| Publication Date: March 2021 |
| Open Prime Factorization The Unique Factorization Theorem Bubbly Primes |

Prime Factorization Of An Integer Chilimath Prime Factorization - 5th Grade Math - Finding Factors of a Number Factoring - Math Homework Help.
| Topic: The prime factors of 600 are 2 3 and 5. Prime Factorization Of An Integer Chilimath What Is The Prime Factorization Of 600 |
| Content: Analysis |
| File Format: Google Sheet |
| File size: 1.5mb |
| Number of Pages: 13+ pages |
| Publication Date: May 2018 |
| Open Prime Factorization Of An Integer Chilimath |

04cf9603914c699a434ba6c4ad008fbb Jpg 600 800 Pixels Sixth Grade Math Fifth Grade Math Fourth Grade Math Videos you watch may be added to.
| Topic: 04cf9603914c699a434ba6c4ad008fbb Jpg 600 800 Pixels Sixth Grade Math Fifth Grade Math Fourth Grade Math What Is The Prime Factorization Of 600 |
| Content: Learning Guide |
| File Format: DOC |
| File size: 2.8mb |
| Number of Pages: 26+ pages |
| Publication Date: June 2017 |
| Open 04cf9603914c699a434ba6c4ad008fbb Jpg 600 800 Pixels Sixth Grade Math Fifth Grade Math Fourth Grade Math |

Factors Of 162 Find Prime Factorization Factors Of 162
| Topic: Factors Of 162 Find Prime Factorization Factors Of 162 What Is The Prime Factorization Of 600 |
| Content: Solution |
| File Format: DOC |
| File size: 1.7mb |
| Number of Pages: 22+ pages |
| Publication Date: May 2018 |
| Open Factors Of 162 Find Prime Factorization Factors Of 162 |

Prime Factorization Of 72
| Topic: Prime Factorization Of 72 What Is The Prime Factorization Of 600 |
| Content: Solution |
| File Format: Google Sheet |
| File size: 1.8mb |
| Number of Pages: 28+ pages |
| Publication Date: February 2021 |
| Open Prime Factorization Of 72 |
Its definitely simple to prepare for what is the prime factorization of 600 Factors of 162 find prime factorization factors of 162 prime factorization of 72 factors of 144 find prime factorization factors of 144 prime factorization on cards prime factorization the unique factorization theorem bubbly primes 04cf9603914c699a434ba6c4ad008fbb jpg 600 800 pixels sixth grade math fifth grade math fourth grade math prime factorization the unique factorization theorem bubbly primes