You can learn 25+ pages mechanical vibrations rao 5th solution pdf explanation in PDF format. Mechanical vibrations rao 5th edition solution manual pdf Length. 24Mechanical vibrations rao 6th edition pdf solution manual Thank you Dr Saif Hosam Raheem. A vibratory conveyors and hoppers b Pile driving and vibratory finishing processes 2. Read also vibrations and mechanical vibrations rao 5th solution pdf 1 mechanical-vibrations-rao-5th-solutions-pdf 12 Downloaded from eventsupeduph on August 24 2021 by guest Read Online Mechanical Vibrations Rao 5th Solutions Pdf Yeah reviewing a ebook mechanical vibrations rao 5th solutions pdf could be credited with your near links listings.
Download Solution manual mechanical vibrations singiresu s PDF -. Lieberman Mechanical Vibrations - Tony L.

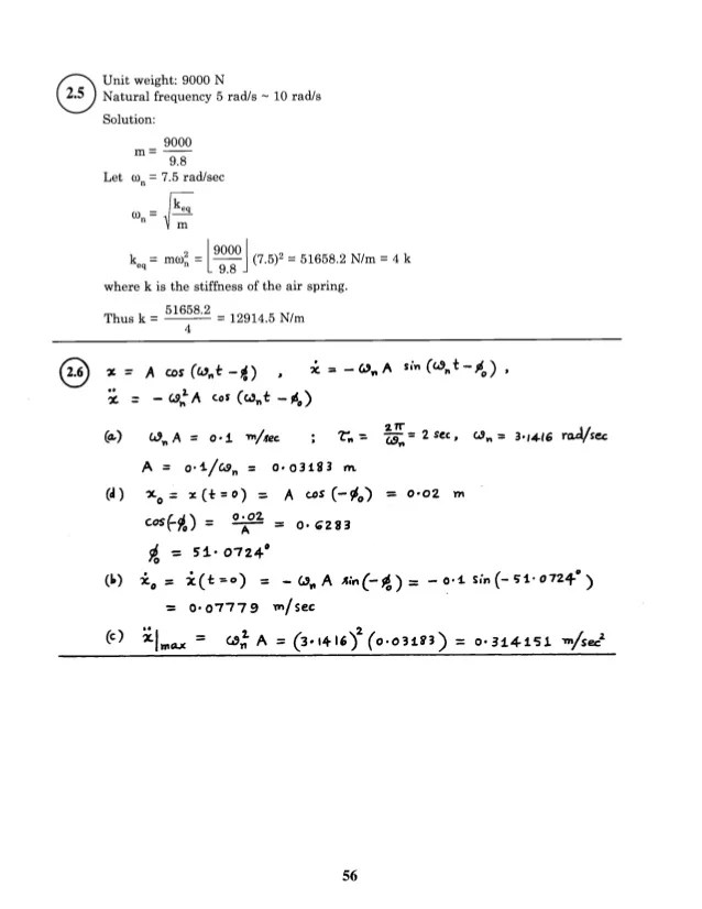
20Mechanical Vibrations Rao 5th Solutions Author.
| Topic: 5mechanical-vibrations-rao-5th-solutions 12 Downloaded from eventsupeduph on August 5 2021 by guest Books Mechanical Vibrations Rao 5th Solutions As recognized adventure as competently as experience roughly lesson amusement as well as treaty can be gotten by just checking out a books mechanical vibrations rao 5th solutions in addition to it is not directly done. Mechanical Vibrations Rao 5th Solution Pdf |
| Content: Learning Guide |
| File Format: DOC |
| File size: 3mb |
| Number of Pages: 30+ pages |
| Publication Date: April 2018 |
| Open |
Sun PDFMechanics of Fluids 3rd ED Vol 1 INSTRUCTOR SOLUTIONS MANUAL.

To the forcing functions acquired by replacing times capital t with N t. Discover the steady-state response of the hydraulic control valve shown in Fig. Rao PDFMechanics of Aircraft Structures 2nd Ed INSTRUCTOR SOLUTIONS MANUAL. 28Mechanical Vibrations 6th Edition Rao Solutions Manual Full download. Mechanical Vibrations Rao 5th Solutions Keywords. 23 Business1gesMechanical Vibrations Ss Rao 5th Edition Solution Manual University of Kentucky on Instagram.
Mechanical Vibrations Rao 5th Solution Manual Free Download Advanced embedding details examples and help.
| Topic: Mechanical vibrations rao 5th solutions Created Date. Mechanical Vibrations Rao 5th Solution Manual Free Download Mechanical Vibrations Rao 5th Solution Pdf |
| Content: Synopsis |
| File Format: DOC |
| File size: 2.1mb |
| Number of Pages: 26+ pages |
| Publication Date: August 2020 |
| Open Mechanical Vibrations Rao 5th Solution Manual Free Download |

Mechanical Vibrations Ss Rao 5th Edition Solution Manual Qn85w0pxjkn1 1 Rao 2011 Mechanical vibrations 5th edition solution manual 295.
| Topic: A Blade and disk failure in turbines b Poor surface finish in metal cutting Good effects. Mechanical Vibrations Ss Rao 5th Edition Solution Manual Qn85w0pxjkn1 Mechanical Vibrations Rao 5th Solution Pdf |
| Content: Explanation |
| File Format: PDF |
| File size: 2.3mb |
| Number of Pages: 50+ pages |
| Publication Date: July 2019 |
| Open Mechanical Vibrations Ss Rao 5th Edition Solution Manual Qn85w0pxjkn1 |

Mechanical Vibrations Ss Rao 5th Edition Solution Manual Pldx4x94j90n 5Read Book Mechanical Vibrations Rao 5th Edition Solution Rao PDF Introduction to Operation Research by Frederick S.
| Topic: PDFMechanical Vibrations 4th Ed SI Units INSTRUCTOR SOLUTIONS MANUAL. Mechanical Vibrations Ss Rao 5th Edition Solution Manual Pldx4x94j90n Mechanical Vibrations Rao 5th Solution Pdf |
| Content: Summary |
| File Format: DOC |
| File size: 2.3mb |
| Number of Pages: 21+ pages |
| Publication Date: September 2021 |
| Open Mechanical Vibrations Ss Rao 5th Edition Solution Manual Pldx4x94j90n |

Vibrations Rao 4th Si Ch01 28Mechanical vibrations rao 5th solution manual pdf Want more.
| Topic: Mechanical vibrations rao 5th edition solution manual pdf Author. Vibrations Rao 4th Si Ch01 Mechanical Vibrations Rao 5th Solution Pdf |
| Content: Answer Sheet |
| File Format: PDF |
| File size: 1.4mb |
| Number of Pages: 4+ pages |
| Publication Date: July 2021 |
| Open Vibrations Rao 4th Si Ch01 |
Solution Manual Rao Mechanical Vibrations 4th Ed Rao PDFMechanics of Aircraft Structures 2nd Ed INSTRUCTOR SOLUTIONS MANUAL.
| Topic: Discover the steady-state response of the hydraulic control valve shown in Fig. Solution Manual Rao Mechanical Vibrations 4th Ed Mechanical Vibrations Rao 5th Solution Pdf |
| Content: Learning Guide |
| File Format: PDF |
| File size: 1.8mb |
| Number of Pages: 30+ pages |
| Publication Date: May 2020 |
| Open Solution Manual Rao Mechanical Vibrations 4th Ed |

Mechanical Vibrations Rao 5th Edition Solution Manual Pdf Maryedwards1696 Issuu
| Topic: Mechanical Vibrations Rao 5th Edition Solution Manual Pdf Maryedwards1696 Issuu Mechanical Vibrations Rao 5th Solution Pdf |
| Content: Analysis |
| File Format: DOC |
| File size: 725kb |
| Number of Pages: 55+ pages |
| Publication Date: November 2017 |
| Open Mechanical Vibrations Rao 5th Edition Solution Manual Pdf Maryedwards1696 Issuu |

Mechanical Vibrations Ss Rao 5th Edition Solution Manual Qn85w0pxjkn1
| Topic: Mechanical Vibrations Ss Rao 5th Edition Solution Manual Qn85w0pxjkn1 Mechanical Vibrations Rao 5th Solution Pdf |
| Content: Solution |
| File Format: PDF |
| File size: 2.3mb |
| Number of Pages: 20+ pages |
| Publication Date: January 2018 |
| Open Mechanical Vibrations Ss Rao 5th Edition Solution Manual Qn85w0pxjkn1 |
Rao Mechanical Vibrations 5th Txtbk Pdf
| Topic: Rao Mechanical Vibrations 5th Txtbk Pdf Mechanical Vibrations Rao 5th Solution Pdf |
| Content: Analysis |
| File Format: DOC |
| File size: 2.2mb |
| Number of Pages: 26+ pages |
| Publication Date: November 2017 |
| Open Rao Mechanical Vibrations 5th Txtbk Pdf |
Mechanical Vibrations Ss Rao 5th Edition Solution Manual Text Rao Solutions Docsity
| Topic: Mechanical Vibrations Ss Rao 5th Edition Solution Manual Text Rao Solutions Docsity Mechanical Vibrations Rao 5th Solution Pdf |
| Content: Explanation |
| File Format: PDF |
| File size: 800kb |
| Number of Pages: 11+ pages |
| Publication Date: November 2020 |
| Open Mechanical Vibrations Ss Rao 5th Edition Solution Manual Text Rao Solutions Docsity |

Mechanical Vibrations Ss Rao 5th Edition Solution Manual Pdf Nature
| Topic: Mechanical Vibrations Ss Rao 5th Edition Solution Manual Pdf Nature Mechanical Vibrations Rao 5th Solution Pdf |
| Content: Learning Guide |
| File Format: PDF |
| File size: 1.8mb |
| Number of Pages: 5+ pages |
| Publication Date: December 2017 |
| Open Mechanical Vibrations Ss Rao 5th Edition Solution Manual Pdf Nature |

Mechanical Vibrations Ss Rao 5th Edition Solution Manual Qn85w0pxjkn1
| Topic: Mechanical Vibrations Ss Rao 5th Edition Solution Manual Qn85w0pxjkn1 Mechanical Vibrations Rao 5th Solution Pdf |
| Content: Solution |
| File Format: DOC |
| File size: 2.2mb |
| Number of Pages: 6+ pages |
| Publication Date: January 2018 |
| Open Mechanical Vibrations Ss Rao 5th Edition Solution Manual Qn85w0pxjkn1 |
Its definitely easy to prepare for mechanical vibrations rao 5th solution pdf